O4 ข้อมูลคณะกรรมการตรวจสอบและติดตามการบริหารงานตำรวจ (กต.ตร) ของสถานีตำรวจ

อำนาจหน้าที่ของคณะกรรมการตรวจสอบและติดตามการบริหารงานตำรวจ (กต.ตร.) ของสถานีตำรวจ

บทบาทภารกิจ กต.ตร.สภ.พัฒนานิคม

รายชื่อ กต.ตร.สภ.พัฒนานิคม

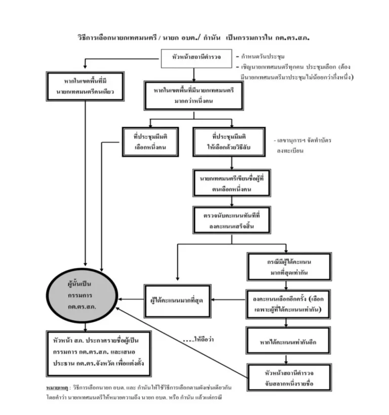
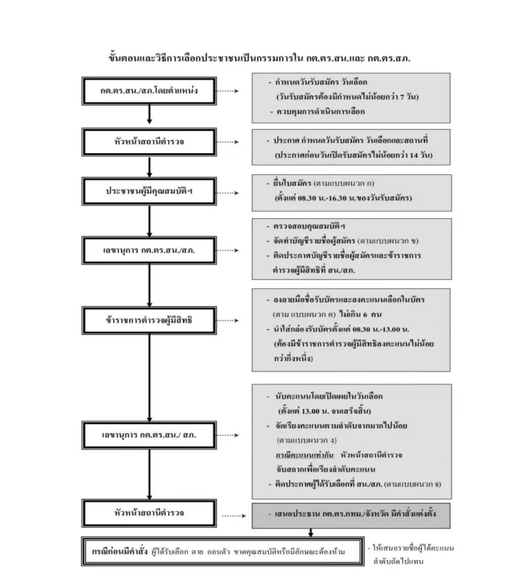
(เอกสารอ้างอิง) วิธีการสรรหาคณะกรรมการตรวจสอบและติดตามการบริหารงานตำรวจ สถานีตำรวจภูธร (กต.ตร.สภ.)

ผลการดำเนินงาน กต.ตร. ในรอบ 6 เดือน (ต.ค.67 - มี.ค.68)

กรรมการ กต.ตร.สภ.พัฒนานิคม ร่วมกิจกรรมบำเพ็ญพระราชกุศล แด่ สมเด็จพระนางเจ้าสิริกิติ์ พระบรมราชินีนาถ พระบรมราชชนนีพันปีหลวง ณ วัดพัฒนาธรรมมาราม

ไม่มีความเห็น

วันที่ 6 พ.ย. 68  กต.ตร.สภ.พัฒนานิคม นำโดย นายนัทนนท์ ป่าธนู กรรมการ กต.ตร.สภ.พัฒนานิคม เลขานุการ กต…

Read More »

กต.ตร. สภ.พัฒนานิคม ร่วมกิจกรรมสภากาแฟ ครั้งที่ 74 วัดพรหมรังษี ตำบลดีลัง อำเภอพัฒนานิคม จังหวัดลพบุรี

ไม่มีความเห็น

วันที่ 17 กันยายน 2568 เวลา 07.00 น.เทศบาลตำบลดีลัง นำโดยนายพรชัยมงคล ประคองทรัพย์ นายกเทศมนตรีตำบลด…

Read More »

มูลนิธิครูบาชัยวัฒน์ เพื่อสันติสุข มอบทุน “ตำรวจดีมีคุณธรรม” ให้แก่ข้าราชการตำรวจ สภ.พัฒนานิคม

ไม่มีความเห็น

วันนี้ 14 สิงหาคม 2568 เวลา 09.00 น. พ.ต.อ.ชัยมิตร สิทธิพูน ผกก. สภ.พัฒนานิคม พร้อมข้าราชการตำรวจ สภ…

Read More »

ผกก.สภ.พัฒนานิคม พร้อมด้วยข้าราชการตำรวจ ร่วมกิจกรรมในวันอาสาฬหบูชา ณ วัดเขาพระ ตำบลหนองบัว อำเภอพัฒนานิคม

ไม่มีความเห็น

วันที่ 10 กรกฎาคม 2568 พ.ต.อ.ชัยมิตร สิทธิพูน ผู้กำกับการสถานีตำรวจภูธรพัฒนานิคม ข้าราชการตำรวจชุดจิ…

Read More »

สถานีตำรวจภูธรพัฒนานิคม ดำเนินการจัดพิธีทำบุญถวายภัตตาหารเพล ทำบุญอาคารที่ทำการ

ไม่มีความเห็น

วันที่ 19 มิถุนายน 2568 เวลา 10.00 น. พ.ต.อ.ชัยมิตร สิทธิพูน ผู้กำกับการสถานีตำรวจภูธรพัฒนานิคม พร้อ…

Read More »

ข้อมูล ณ วันที่ 30 มีนาคม 2568